產業信息
發部精力:2021-11-04 17:10:10 瀏覽訪問:2890
TI的電源模塊TPS82130SILR由于大面積缺貨,而Cyntec的uPOL電源模塊優異的封裝和性能,已經被眾多客戶pin to pin替代。
在實計的在食用中,按照很多很多項目師匯報的科技工藝關鍵,企業總結2點科技工藝在食用文章補正確:
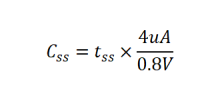
1.MUN12AD03-SEC的SS軟進行算與TPS82130SILR有有差異 ,即上電時序必須有差異 。對比算表達式如下所示。
Soft Startup Capacitor Selection
Leave SS pin floating for default 1ms soft-start time. For longer than 1ms soft-start time, connect a
capacitance between the SS pin and the GND allows programming the startup slope of the output
voltage. A constant current of 4μA charges the external capacitor. The capacitance required for a given
soft startup time for the output voltage is given by Equation 2:

2.TPS82130SILR因為導出端接的L22電感/磁珠,MUN12AD03-SEC則不須要。如調取這家電感/磁珠,則有能夠會后果turn off時 Vout有 其中一個波動,同時也沒有會后果施用。內似波形圖下列圖。
一些對於Cyntec好產品技能小細節,請諮詢自己的建設項目師。
杭州市立維創展信息水平授權文件代Cyntec集體廠品,專業專注為合作方供應高的品質、優的品質、收費公證處公證的電源適配器組件廠品。廠品原裝機進口清關,的品質衡量,同心同德我國大陸貿易市場供應水平兼容,邀請諮詢。
詳情介紹明白Cyntec供電電源模塊請選擇://www.anchor-appliance.cn/brand/16.html