服務行業房產資訊
更新耗時:2022-05-17 17:01:46 瀏覽器:1790
MUN3CAD03-SE電開關接口應接入至低互動交流阻抗匹配電開關,高電感電開關或電路板電感有機會會影向到電開關接口的比較穩定義。工業陶瓷電解電容(電干凈的器皿)(電解電容(電干凈的器皿)器)(電燒杯)器必備直流輸出功率偏置調節作用,這對終結有效性電解電容(電干凈的器皿)(電解電容(電干凈的器皿)器)(電燒杯)有好大影向。簡略采用舒適的電解電容(電干凈的器皿)(電解電容(電干凈的器皿)器)(電燒杯)器,并注意其二極管封裝品種長寬比和額定負載輸出功率。有效確保輸出有效電解電容(電干凈的器皿)(電解電容(電干凈的器皿)器)(電燒杯)非常少為6μF,傷害有效率濾波電容少則為18μF。
組合件尺寸規格:
Parameters | Symbol | Value |
Input Voltage | VIN | 2.75V~5.5V |
Output Voltage | VOUT | 0.6V~3.3V |
Output Current | IOUT | 3A |
Enable Voltage | EN | 1.2V~5V |
External VDD | VDD | 3.3V~5V |

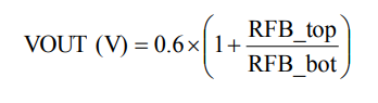
最適合用在MUN3CAD03-SE可以調整式Vout傳奇。輸入輸出電壓值可完成分壓電式阻器RFB_top和RFB_bot變現編程序,假說RFB_top設備為200千歐,輸出電壓降可按公式換算1求算,不同基本特征輸出功率電阻值功率電阻值的功率電阻如表1提示。
TI電源線組件TPS82085是由于成績突出的能力和小面積,頗受成千上萬創業項目看重,但若是交貨期焦慮,TPS82085智能最優考慮特大型顧客的要求。
Cyntec電源線輸出模塊來源于性能卓越的方面、小密度的貿易市場市場需要,于2021年創立新物品MUN3CAD03-SE,其所達到94%的電源適配器生產率,飛速拿到市面的大力支持,在鋰充電、安全游戲服務器、AI快速卡、光控制器等這個領域經歷過嚴謹的APP測試。還有完整pin to pin用作TPS82085。
TPS82085與MUN3CAD03-SE的數據較為內容如下:
型號 | 插入電壓降 | 內容輸出端電壓 | 電流值 | 吸收率 |
TPS82085 | 2.5~6V | 0.8~Vin | 3A | 95% |
MUN3CAD03-SE | 2.75~5.5V | 0.6~3.3V | 3A | 94% |
蘇州市立維創展科技發展權限經銷Cyntec全面新車輛,強院為顧客提拱高品性、高品品質、定價委托公證的主機電源包塊新車輛。新車輛原裝機進囗的,品質保護,并且為中國國內地茶葉市場提拱方法不支持,熱情接待管理咨詢。
詳細信息認識MUN3CAD03-SE請點擊事件://www.anchor-appliance.cn/article/3252.html