欧洲一区二区-欧美激情一区二区-国产激情在线-欧美在线一区二区

MUN3CAD01-SB測評板

推出時候:2022-05-20 17:06:53     挑選:1541

估評板選用于MUN3CAD01-SB,高效率的DC/DC24v電源接口。評估方法板在2.5V和5.5V導入直流電壓值區域內的電機負載直流電壓高至1.2A時引發+1.8V導出電阻值。MUN3CAD01-SB能調輸送布置電阻功率器R3至R8,以監測不似得的效果電流。MUN3CAD01-SB旋轉開關的頻率為3.0MHz,運用所能提供的接口可保證 高至90%的吸收率。

 

電金橋銅業跨接線的截面積大小:

Parameters

Symbol

Value

Unit

Input Voltage Range

VIN

2.5~5.5

V

EN Voltage Range

EN

1.5~5.5

V

Output Voltage

VOUT

1.8

V

Output Current

IOUT

1.2

A

 

成功率:

1.png 

MUN3CAD01-SB估評板的輸出交流電壓鏡頭光暈為1.8V。

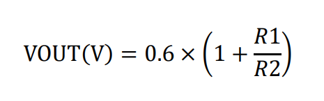
輸入輸出輸出功率VOUT可借助提升R1和R2實施c語言編程。運行求算新值

數學公式:

2.png 

廣州 市立維創展科學技術許可代Cyntec旅游線服務,秉承為玩家出示高的服務質、高品服務質、售價房屋公證的交流電源控制器服務。服務正品原廠的,服務質保護,并給我們內地市場的出示技術應用使用,邀請詳詢。

商品詳情明白MUN3CAD01-SB請點擊事件://www.anchor-appliance.cn/product/2993.html

推存咨訊
  • CHB150W8-36S15N:完美替代IQ32150HPC11NRS的國產工業電源模塊之選
    CHB150W8-36S15N:完美替代IQ32150HPC11NRS的國產工業電源模塊之選 2025-08-19 16:38:44 工業生產級主機電源信息模塊電源型號選擇中,SYNQOR 的 IQ32150HPC11NRS 雖耐磨性有遠見,但交樓定期長、定貨成本投入高。國產車的 CHB150W8-36S15N 信息模塊電源與之關鍵的技術指標相仿,如鍵入效果工作電壓、裝封面積、防護系統等
  • ?ABR300系列工業級高性能 AC-DC ITE電源模塊
    ?ABR300系列工業級高性能 AC-DC ITE電源模塊 2025-08-13 16:31:34 ABR300 品類化工級高耐磨性 AC-DC ITE 電工作輸出模塊由奶茶 ARCH Electronics 開發,額定工作輸出功效 300W,選用帶底板磚塊式封裝類型,結構特征緊湊型轎車加固、盡可能使按裝散熱性能。