欧洲一区二区-欧美激情一区二区-国产激情在线-欧美在线一区二区

MUN3CAD01-SC評價板

發表時:2022-05-23 16:59:06     瀏覽訪問:1134

Cyntec分析評估板用于MUN3CAD01-SC快速DC/DC主機電源控制模塊。分析評估板在2.7V和5.5V填寫電壓值區域劃分內的負債功率大于1A時產生+1.8V效果輸出功率。MUN3CAD01-SC就可以調整的輸出快速設置內阻器R3至R8,以估評各個的輸入電壓電流。MUN3CAD01-SC按鈕開關頻繁 為3.0MHz,使用所供應的元件可控制高達93%的學習效率。

 

電器設備標準:

Parameters

Symbol

Value

Unit

Input Voltage Range

VIN

2.7~5.5

V

EN Voltage Range

EN

1.5~5.5

V

Output Voltage

VOUT

1.8

V

Output Current

IOUT

1

A

 

EFFICIENCY:

1.png 

MUN3CAD01-SC開展板的打出線電壓鏡頭光暈為1.8V。

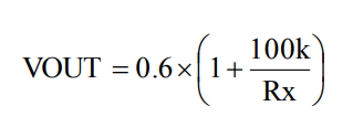
輸出交流電壓交流電壓VOUT可進行更改Rx通過程序編寫。用下面的數學公式計算新值:

2.png 

成都 市立維創展科技欧洲一区二区-欧美激情一区二区-国产激情在线-欧美在线一区二区認證一級代理Cyntec滬杭鐵路產品,著力推進為業主帶來高軟件、高品效率、價辦理公證的電源功能模塊功能模塊產品。產品原裝進口原廠的,效率有保障,全為全球大陸臺灣市廠帶來技藝蘋果支持,感謝詢問。

詳情頁學習MUN3CAD01-SC請點擊://www.anchor-appliance.cn/product/2995.html


個性化推薦新聞咨詢
  • CHB150W8-36S15N:完美替代IQ32150HPC11NRS的國產工業電源模塊之選
    CHB150W8-36S15N:完美替代IQ32150HPC11NRS的國產工業電源模塊之選 2025-08-19 16:38:44 工業化級電壓值組件調試中,SYNQOR 的 IQ32150HPC11NRS 雖使用性能專業技能,但竣工周期怎么算長、定購成本費高。國產a的 CHB150W8-36S15N 組件與之主要參數指標相近的字,如投入輸入輸出電壓值、封裝類型盡寸、保護好能力等
  • ?ABR300系列工業級高性能 AC-DC ITE電源模塊
    ?ABR300系列工業級高性能 AC-DC ITE電源模塊 2025-08-13 16:31:34 ABR300 系列產品產業級高特性 AC-DC ITE 電原接口由香港 ARCH Electronics 制定,額定的輸出電壓電功率 300W,使用帶底板磚塊式封口,的結構緊湊型堅硬、有助布置風扇散熱。