欧洲一区二区-欧美激情一区二区-国产激情在线-欧美在线一区二区

?MUN12AD01-SH評估報告板

頒布日子:2022-05-24 16:49:47     網頁瀏覽:1097

Cyntec風險評估板一般用在MUN12AD01-SH高質量率整流/直流電開關電源引擎。測試板在4.5V和17V填寫電阻值范圍內內的裝載電壓電流可高達1A時構成+3.3V的模擬輸出電壓值。可以調低的模擬輸出如何設置電阻器器R5至R10,以測試不同于的輸送輸出功率。MUN12AD01-SH轉換開關頻率為1.0MHz,運用所供給的元器件可保證 萬代高達94%的使用率。

 

電器設備尺寸:

Parameters

Symbol

Value

Unit

Input Voltage Range

VIN

4.5~17

V

EN Voltage Range

EN

1.5~17

V

Output Voltage

VOUT

3.3

V

Output Current

IOUT

1

A

 

EFFICIENCY:

1.png 

 

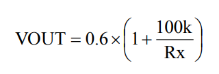
MUN12AD01-SH的模擬輸出輸出功率預置為3.3V。

的輸出相電壓VOUT可可以通過優化Rx對其進行語言編程。的使用左右計算出來公式計算出來新值:

2.png 

北京市立維創展信息技術授權書POS機代理Cyntec旅游線車輛,努力為投資者具備高好品質、優效率、成品報價公平的電源線模塊電源車輛。車輛原裝機原廠裝配的,效率能保證,并且還為中華大陸銷售市場具備能力不支持,誠邀質詢。

內容要了解MUN12AD01-SH請點擊://www.anchor-appliance.cn/product/2997.html

推介咨詢
  • CHB150W8-36S15N:完美替代IQ32150HPC11NRS的國產工業電源模塊之選
    CHB150W8-36S15N:完美替代IQ32150HPC11NRS的國產工業電源模塊之選 2025-08-19 16:38:44 工農業級開關電源模快型號選擇中,SYNQOR 的 IQ32150HPC11NRS 雖特點專業技能,但交給生長期長、訂購投入高。國內生產的 CHB150W8-36S15N 模快與之關健性能參數類似,如讀取輸出電壓降、封裝類型的尺寸、維護功效等
  • ?ABR300系列工業級高性能 AC-DC ITE電源模塊
    ?ABR300系列工業級高性能 AC-DC ITE電源模塊 2025-08-13 16:31:34 ABR300 國產化工業級高使用性能 AC-DC ITE 交流電源組件由國內 ARCH Electronics 上線,電機額定電率輸出的電率 300W,選取帶底板磚塊式二極管封裝,形式密集牢固、為了方便重新安裝熱管散熱。