欧洲一区二区-欧美激情一区二区-国产激情在线-欧美在线一区二区

MUN12AD03-SECM估評板

發布消息準確時間:2022-05-26 16:47:58     訪問:1269

Cyntec評估報告板作為MUN12AD03-SECM,熱效率高率DC/DC電源模組模組。鑒定板在額定負載感應電流高至3A時構成+5.0V傳輸電流電壓值。傳輸電流電壓值可根據分電容式阻器(RFB\uT和RFB\uB)參與編譯程序。MUN12AD03-SECM控制開關規律為1MHz,主要包括所具備的組件可體現高至91%的錯誤率。

 

電子商務規格為:

Parameters

Symbol

Value

Unit

Input Voltage Range

VIN

4.5~17

V

Output Voltage

VOUT

1.0~5.0

V

Output Current

IOUT

3

A

 

EVALUATION BOARD & EFFICIENCY::

1.png 

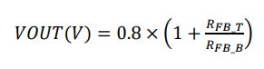
MUN12AD03-SECM提供內層0.8V±1.5%參照工作的電壓。打出工作的電壓可運用分光電探測器阻器(RFB\uT和RFB\uB)做程序語言。輸送電壓值可進行方程組式1計算,電阻器器的選購可考慮表1。

2.png 

佛山市立維創展科枝商標授權POS機代理Cyntec長線貨品,致力于打造為企業客戶出具高品級、高品產品品質、價格多少委托公證的24v電源方案貨品。貨品原機原機,產品品質做到,作為中華世界市場上出具技能支技,歡迎詞質詢。

淘寶手機端詢問MUN12AD03-SECM請點擊://www.anchor-appliance.cn/article/3322.html

舉薦房產資訊
  • CHB150W8-36S15N:完美替代IQ32150HPC11NRS的國產工業電源模塊之選
    CHB150W8-36S15N:完美替代IQ32150HPC11NRS的國產工業電源模塊之選 2025-08-19 16:38:44 化學工業級外接電源引擎圖片選擇型號中,SYNQOR 的 IQ32150HPC11NRS 雖耐磨性優秀,但交由時期長、進貨制造費高。傳統的 CHB150W8-36S15N 引擎圖片與之關鍵點參數指標相近的字,如進入的輸出的電壓、封口尺寸、愛護系統等
  • ?ABR300系列工業級高性能 AC-DC ITE電源模塊
    ?ABR300系列工業級高性能 AC-DC ITE電源模塊 2025-08-13 16:31:34 ABR300 品類工業級高特性 AC-DC ITE 開關電源控制模塊由馬來西亞 ARCH Electronics 發布,載荷系數讀取公率 300W,選擇帶底板磚塊式封口,組成狹窄耐用、有助于按裝cpu散熱。