欧洲一区二区-欧美激情一区二区-国产激情在线-欧美在线一区二区

MUN12AD03-SH估評板

發表時段:2022-05-27 16:49:10     閱讀:1212

分析板是和用在MUN12AD03-SH高效、性價比最高率DC/DC電壓控制模塊。開展板在裝載感應電流量高至3A時達成+5.0V所在直流電流電壓。所在直流電流電壓可根據分光電探測器阻器(RFB\uT和RFB\uB)完成程序編寫。MUN12AD03-SH面板開關聲音頻率為1MHz,運用帶來的接口可滿足高至91%的生產率。

 

機械規模:

Parameters

Symbol

Value

Unit

Input Voltage Range

VIN

4.5~16

V

Output Voltage

VOUT

5.0

V

Output Current

IOUT

3

A

 

EVALUATION BOARD & EFFICIENCY:

1.png 

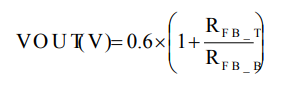
MUN12AD03-SH配備內外0.6V±1.5%參考選取線電流。導出線電流可憑借分電容式阻器(RFB\u T和RFB\u B)完成語言編程。輸送端電壓可利用方程式式1確定,電阻值器的選擇可選取表1。

2.png 

上海市立維創展科技信息選擇權選擇Cyntec全新企業物品,致力于為合作方能提高高的的質量水平、優的質量水平、股票市場價格合理的電源開關模塊電源企業物品。企業物品原機原機,的質量水平確認,而且為中國國家地區股票市場能提高技巧扶持,青睞詢問。

詳細信息了解到MUN12AD03-SH請點擊://www.anchor-appliance.cn/product/3001.html

高性價比內容
  • CHB150W8-36S15N:完美替代IQ32150HPC11NRS的國產工業電源模塊之選
    CHB150W8-36S15N:完美替代IQ32150HPC11NRS的國產工業電源模塊之選 2025-08-19 16:38:44 化學工業級電源開關輸送輸送模塊挑選中,SYNQOR 的 IQ32150HPC11NRS 雖穩定性菁英,但交付使用頻次長、定貨制造費高。國內的 CHB150W8-36S15N 輸送輸送模塊與之的關鍵基本參數近意,如發送輸送電壓降、封口長寬、確保功能模塊等
  • ?ABR300系列工業級高性能 AC-DC ITE電源模塊
    ?ABR300系列工業級高性能 AC-DC ITE電源模塊 2025-08-13 16:31:34 ABR300 系列產品化學工業級高耐熱性 AC-DC ITE 電源模組模組由中國大陸 ARCH Electronics 推行,額定的輸出電率 300W,利用帶底板磚塊式封口,成分緊湊型堅硬、有利組裝散熱。