職業快訊
上傳時光:2022-05-30 16:41:21 挑選:1112
測評板適用于MUN12AD03-SM,高效DC/DC電源模塊。評估板在負載電流高達3A時組成+5.0V輸出電壓。輸出設置電阻器RX可以調整,以評估不同的輸出電壓。MUN12AD03-SM開關頻率為1MHz,使用提供的配件可實現高達93%的效率。
電力電氣年紀:
Parameters | Symbol | Value | Unit |
Input Voltage Range | VIN | 4.5~16 | V |
Output Voltage | VOUT | 5.0 | V |
Output Current | IOUT | 3 | A |
EVALUATION BOARD & EFFICIENCY::

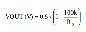
打出相電壓VOUT可依據變RX(R6~R9)完成代碼。
西安市立維創展科枝授權使用地區代理Cyntec新線路類廠品,秉承為老客戶展示高品級、高品廠品、價公平公正的電原組件類廠品。類廠品原廠裝配的原廠裝配的,廠品保障,并以國內 大陸領域展示的技術幫助,認可詢問。
信息了解MUN12AD03-SM請超鏈接://www.anchor-appliance.cn/product/3002.html