欧洲一区二区-欧美激情一区二区-国产激情在线-欧美在线一区二区

MUN12AD05-SMF系列產品分析評估板

公布事件:2022-06-01 17:16:44     訪問:1607

鑒定板主要的在MUN12AD05-SMF編有生產率直流電/電壓電流24v電源版塊。評詁板在阻抗電壓電流高至5A時轉變成+5.0V打印輸出電壓電流值。打印輸出電壓設備功率電阻器RFB可的調節,以評詁不同于的導出電流值。MUN12AD05-SMF系列表啟閉的頻率為600kHz,操作所提供了的功能模塊可體現高至92%的學習效率。

 

不間斷規格為:

MUN12AD05-SMFH

Parameters

Symbol

Value

Unit

Input Voltage Range

VIN

4.5~20

V

Output Voltage

VOUT

1.9~5

V

Output Current

IOUT

5

A

 

MUN12AD05-SMFL

Parameters

Symbol

Value

Unit

Input Voltage Range

VIN

4.5~20

V

Output Voltage

VOUT

0.6~1.8

V

Output Current

IOUT

5

A

 

EVALUATION BOARD&EFFICIENCY::

1.png 

MUN12AD05-SMF SERIES EVB

2.png 

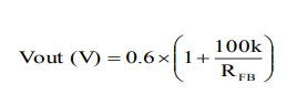
輸入電流值VOUT可實現改進RX(R6~R9)實行編程學習。

3.png 

 

成都市立維創展新材料技術品牌授權銷售商Cyntec滬杭鐵路好食品,銳意創新為玩家供給高食品效果管理、效果好管理量、市場的價格公平的電源模組模組好食品。好食品原版原機,效果管理確定,全為我們世界市場的供給的技術開發軟件,歡迎詞詢問。

淘寶手機端熟悉MUN12AD05-SMFH請點擊率://www.anchor-appliance.cn/article/3347.html

詳細信息熟知MUN12AD05-SMFL請點擊進入://www.anchor-appliance.cn/article/3352.html

推見訊息
  • CHB150W8-36S15N:完美替代IQ32150HPC11NRS的國產工業電源模塊之選
    CHB150W8-36S15N:完美替代IQ32150HPC11NRS的國產工業電源模塊之選 2025-08-19 16:38:44 實業級24v電源模組選擇中,SYNQOR 的 IQ32150HPC11NRS 雖特點優異,但交給時間長、訂購成本預算高。德國進口的 CHB150W8-36S15N 模組與之關健基本參數相仿,如鍵入讀取端電壓、封口尺碼、保養用途等
  • ?ABR300系列工業級高性能 AC-DC ITE電源模塊
    ?ABR300系列工業級高性能 AC-DC ITE電源模塊 2025-08-13 16:31:34 ABR300 系類產業級功能卓越參數 AC-DC ITE 供電板塊由臺灣 ARCH Electronics 還推出,載荷系數讀取耗油率 300W,使用帶底板磚塊式封裝形式,設備構造緊湊型轎車耐用、于進行安裝散熱。