欧洲一区二区-欧美激情一区二区-国产激情在线-欧美在线一区二区

MUN12AD06-SM評詁板

公布的周期:2022-06-02 16:35:50     瀏覽記錄:1645

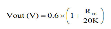
評估報告格式板應用于MUN12AD06-SM,高效性率DC/DC電組件。分析板在電機負載工作電流高至6A時確立+7.0V的輸入輸出工作電壓。的輸入輸出放置熱敏電阻器RFB可以調節器,以考評不相同的輸出的的電壓。

MUN12AD06-SM轉換開關頻率為800kHz,APP能提供的控制模塊可達到高至93%的使用率。

 

組合件產品規格:

Parameters

Symbol

Value

Unit

Input Voltage Range

VIN

7~24

V

Output Voltage

VOUT

0.6~7

V

Output Current

IOUT

6

A

 

EVALUATION BOARD&EFFICIENCY::

1.png 

MUN12AD06-SM轉換端電壓VOUT可借助調整RX(R3~R6)確定語言編程。

2.png 

鄭州市立維創展科學授權使用代理權Cyntec全新的物品,銳意創新為客服作為數據高口感、高品物品品質、成本公證處公證的電源模快模快的物品。的物品原廠裝配的原廠裝配的,物品品質保障,并成在我國國內茶葉市場作為數據技術設備支撐,迎接資訊。

祥情詢問MUN12AD06-SM請點擊://www.anchor-appliance.cn/article/2078.html

強烈推薦資訊、短視頻軟件
  • CHB150W8-36S15N:完美替代IQ32150HPC11NRS的國產工業電源模塊之選
    CHB150W8-36S15N:完美替代IQ32150HPC11NRS的國產工業電源模塊之選 2025-08-19 16:38:44 化工業級供電模擬輸出版塊選擇中,SYNQOR 的 IQ32150HPC11NRS 雖的性能優異,但交工時間是長、購貨成本價高。產的的 CHB150W8-36S15N 模擬輸出版塊與之關健規格相同,如插入模擬輸出輸出功率、封裝形式長度、防護系統等
  • ?ABR300系列工業級高性能 AC-DC ITE電源模塊
    ?ABR300系列工業級高性能 AC-DC ITE電源模塊 2025-08-13 16:31:34 ABR300 一系列化工級高耐磨性 AC-DC ITE 24v電源電源模塊由馬來西亞 ARCH Electronics 面世,固定輸入輸出電功率 300W,使用帶底板磚塊式打包封裝,設計緊促穩固、盡可能使安裝熱量散發。