服務行業分析新聞
發布公告時段:2022-06-10 16:56:55 瀏覽記錄:1559
MUN3CAD01-SB摸塊應相連接至低交談特性阻抗交流電源線摸塊。高電感交流電源線摸塊或方式電感或者會影響到到摸塊的固界定。手機輸入電解電儲槽須得直接性安放在MUN3CAD01-SB功能模塊的輸入引足部,以最低化輸入紋波電壓降并保證MUN3CAD01-SB控制模塊的安全穩判定。因為削減工作輸入紋波并改善階躍負荷發展時的動態圖片相應,需要在工作輸入端連接木制托盤的電感器。覺得應運低ESR水滑石物和陶瓷廠家電解電貯罐來上升MUN3CAD01-SB模塊電源的的輸出紋波和動態圖片出現異常;

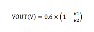
MUN3CAD01-SB接口的內部的決定性的電壓為0.6V±2%。導出交流電壓可隨著分頻內阻器R1和R2去編程學習,這5個電阻器器與Vout引腳和FB引腳重要性。讀取電壓值可表明計算方式1算出。通過關鍵打出電阻值值的電阻值器如表如下圖所示。
其他熱檢測環境均夠滿足JEDECEIJ/JESD51標準。因而,試板規格為30mm×30mm×1.6mm,共2層。以后,app安裝使用在更有效的熱導率測試英文板上的構件,在0LFM處檢側Rth(jchoke-a)。MUN3CAD01-SB傳感器構思用來后蓋溫度低過110°C時,無論是讀取電壓電流、錄入/打出電流電壓或壞境室溫要怎樣變化無常。
無鉛電焊焊接新技術是智能電子生產設備制作的規定。錫/銀、錫/銀/銅和錫/銀/鉍錫焊的原材料錳鋼被廣泛應用代替混用傳統化的錫/鉛合金鋼。提倡將錫/銀/銅各種合金(SAC)可作MUN3CAD01-SB模塊電源技術水平。在sac鎳鋼系列表中,sac305是越來越歐美流行的點焊涂料鎂合金,收錄3%的銀和0.5%的銅,易于修改。常,分配程序有這三個關鍵期。在從恒溫到150°C的初使階段中,,室內溫度增高速率單位應當大于3°C/s。第三,侵泡區在150°C和200°C期間會出現60到120秒。后來,將的溫度提升在217°C上60秒,以熔解激光焊接材質,并將頂值室內溫度保護在240°C和250°C互相。請準備,最高值室內溫度的日子應受制于于PCB的水平。回到焊形狀常見由悍接素材供貨商蘋果支持,并應不一不一的悍接素材型和營造商的素材實現整合。
佛山市立維創展科技公司授權使用微商代理Cyntec全面物料,全力為投資者展示高品產品設備、高品產品設備、的價格公平的電原接口物料。日前,立維創展藏有大量量Cyntec電壓交易量,如型號查詢:MUN12AD03-SEC,MUN3CAD03-SE等。好產品正品正廠,產品品質要確保,并且為我國大陸臺灣股票市場展示 的技術大力支持,祝賀顧問。
詳情頁了解到Cyntec請鼠標點擊://www.anchor-appliance.cn/brand/16.html