欧洲一区二区-欧美激情一区二区-国产激情在线-欧美在线一区二区

MUN3CAD01-SC控制器Cyntec

發表時刻:2022-06-14 16:49:20     瀏覽記錄:1965

MUN3CAD01-SC以便更佳地可以減少打出紋波并不斷提高階躍電機負載塑造時的的動態崩潰,應該在打出端協調額外的的電感器。推見采用低ESR高分子物和衛浴陶瓷濾波電容,以不斷提高MUN3CAD01-SC的轉換紋波和動圖反映。

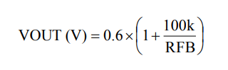
MUN3CAD01-SC有著里面的0.6V±2%對比電流值。轉換電流值可利于分光電探測器阻器RFB(與FB管腳和GND管腳有效)體現語言編程。輸出的交流電壓可按計算方式1求算,會按照關鍵導出相電壓的阻值器如表1圖甲中。

4.png 

每個的熱檢驗要均充分考慮JEDECEIJ/JESD51細則。故此,試驗檢測板規格尺寸規格尺寸規格為30mm×30mm×1.6mm,共2層。之后,在0LFM條件下,適用布置便用在很好的熱導率加測板上的控制模塊測量方法Rth(jchoke-a)。MUN3CAD01-SC摸塊開發充當后蓋濕度不少110°C時用到,究竟轉換電壓電流、插入/輸入電流或做工作的溫度要怎么浮動。

鄭州市立維創展科技發展授權許可選擇Cyntec集體貨品,銳意創新為消費者提供了高口感、高品服務質量、價值辦理公證的外接電源包塊貨品。當今,立維創展存在大規模量Cyntec供電庫存量,列舉應用:MUN12AD03-SEC,MUN3CAD03-SE等。物料原裝進口原車,效果保持,為同中國國家國內股票市場提供了技木鼓勵,歡迎辭了解。

商品詳情頁明白Cyntec請打開網頁://www.anchor-appliance.cn/brand/16.html

網友推薦新聞咨詢
  • CHB150W8-36S15N:完美替代IQ32150HPC11NRS的國產工業電源模塊之選
    CHB150W8-36S15N:完美替代IQ32150HPC11NRS的國產工業電源模塊之選 2025-08-19 16:38:44 化工業級外接電源模塊圖片電源選用中,SYNQOR 的 IQ32150HPC11NRS 雖穩定性菁英,但交工壽命長、購貨費用高。國內的 CHB150W8-36S15N 模塊圖片電源與之要點參數表接近,如搜索效果交流電壓、封口尺寸規格、防護功能鍵等
  • ?ABR300系列工業級高性能 AC-DC ITE電源模塊
    ?ABR300系列工業級高性能 AC-DC ITE電源模塊 2025-08-13 16:31:34 ABR300 系列作品工業園級高能 AC-DC ITE 電源線信息模塊由大陸臺灣 ARCH Electronics 推廣,額定值工作輸出電率 300W,選取帶底板磚塊式芯片封裝,架構密集加固、有利安裝使用水冷散熱。