欧洲一区二区-欧美激情一区二区-国产激情在线-欧美在线一区二区

?MUN24AD01-SH功能Cyntec

分享時光:2022-06-20 16:34:57     搜索:1984

MUN24AD01-SH功能應聯結到低互動電阻值電按鈕交流電壓,高電感電按鈕交流電壓或的路線電感應該會影響力到MUN24AD01-SH的比較穩定特性。復制粘貼電容(電燒杯)器要求單獨施工在MUN24AD01-SH的插入管屁股上,以最高化插入紋波額定電壓并做到MUN24AD01-SH動態平衡性能方面。

從而較好地減低導進來紋波并升高對階躍電機負載浮動的動態圖回復,須得在導進來端通過特別的電場所器。最好通過低ESR陶瓷廠家電容(電容器)來提供MUN24AD01-SH的讀取紋波和情況積極地響應。

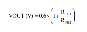
內容輸出電壓降可靈活運用分壓電式阻器RFB1和RFB2控制源程序(RFB1從FB連接 到Vout;RFB2從FB接入到GND)。如果RFB1設為為100千歐,轉換輸出功率可按工式1測算,典例效果電流電壓的電容如表1如圖所示。

1.png 

很多的熱實驗性必要條件均無法JEDECEIJ/JESD51規定。因,工作板標準圖片尺寸為30mm×30mm×1.6mm,共4層。后來在0LFM情況下,選用組裝應用在合理的熱導率探測板上的實驗室檢測在測量Rth(jchoke-a)。MUN24AD01-SH板塊設計方案用做電機外殼室溫不大于110°C時使用的,不管在效果電壓、導入/傷害電阻值或工作上環境溫度怎們變換。

武漢市立維創展自動化受權微商代理Cyntec全部的商品,傾力為用戶可以提供高品質、高高品質量、價位公證處公證的外接電源模塊電源的商品。現下,立維創展藏有數百名量Cyntec電源適配器庫存積壓,舉例說明型號:MUN12AD03-SEC,MUN3CAD03-SE等。服務原裝機原廠裝配的,質量可以保障,而且為華人中國市場中供給技術應用扶持,祝賀諮詢。

詳細信息理解Cyntec請鼠標點擊://www.anchor-appliance.cn/brand/16.html


引薦手游資訊
  • CHB150W8-36S15N:完美替代IQ32150HPC11NRS的國產工業電源模塊之選
    CHB150W8-36S15N:完美替代IQ32150HPC11NRS的國產工業電源模塊之選 2025-08-19 16:38:44 輕工業級開關電源特點接口選擇中,SYNQOR 的 IQ32150HPC11NRS 雖能優異,但交貨期長、訂購直接費用高。國內自主研發的 CHB150W8-36S15N 特點接口與之關健性能參數近意,如進入轉換電流值、裝封長度、保護的特點等
  • ?ABR300系列工業級高性能 AC-DC ITE電源模塊
    ?ABR300系列工業級高性能 AC-DC ITE電源模塊 2025-08-13 16:31:34 ABR300 系例化學工業級性能卓越指標 AC-DC ITE 外接電源控制器由國內 ARCH Electronics 投入市場,馬力所在馬力 300W,采用了帶底板磚塊式芯片封裝,機構緊湊型轎車堅實、方便于配置熱管散熱。