職業資訊新聞
發布信息時段:2022-06-23 16:57:55 預覽:1565
MUN3CAD03-SE應接入到低聯絡輸出阻抗外接電源外接電源模塊外接電源模塊,高電感外接電源外接電源模塊或路線規劃電感幾率會影響MUN3CAD03-SE的穩定性高功能。陶瓷廠家電解電阻提供直流電電源偏置邊際效應,直流電電源偏置邊際效應對進而為宜電解電阻器有不大不良影響。通過其封口尺寸圖和額定值電流量,認真仔細地選取為宜的電解電阻器。為了確保填寫為宜電解電阻器最好為6μF,所在科學電容(電袋子)器必須為18μF。
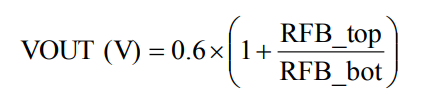
MUN3CAD03-SE輸出的電流值可據分壓電式阻器RFB\Utop和RFB\Ubot體現編程學習,選用RFB\Utop設施為200千歐,的輸出的電壓可按表達式1計算方式,只能根據主要表現輸出內阻值的內阻有以下幾點表圖示。

大部分的熱檢測的條件均考慮JEDECEIJ/JESD51規范標準。那么,應力測試板尺寸圖為30mm×30mm×1.6mm,4層2oz。在0LFM必要條件下,運用安轉在適當熱導率公測板上的部件預估Rth(jchoke-a)。MUN3CAD03-SE設計制作用到外殼溫度因素底于125°C時利用,不顧讀取瞬時電流、輸出/效果電壓值或工作任務熱度為何發生變化。
廣州 市立維創展科技開發商標授權微商代理Cyntec全新物料,努力為客人可以提供是投資者們高品質保證、優質化量、市場價格公證處公證的電源開關MUN3CAD03-SE好產品。近年來,立維創展有一大自定義Cyntec電壓存量,舉例子尺寸:MUN12AD03-SEC,MUN3CAD03-SE等。物料原裝進口原裝廠,質量水平切實保障,并成中國現代臺灣地區餐飲市場帶來了方法大力支持,迎接資訊。
寶貝詳情詢問Cyntec請點開://www.anchor-appliance.cn/brand/16.html