欧洲一区二区-欧美激情一区二区-国产激情在线-欧美在线一区二区

MUN3CAD03-SF電源模塊現貨平臺Cyntec

推出時光:2022-06-24 16:36:35     網頁瀏覽:1115

MUN3CAD03-SF應連接 到低交談輸出阻抗開關電壓功能控制器,高電感開關電壓功能控制器或電源線路電感可能會作用到MUN3CAD03-SF的平穩效果。手機輸入電感器需求立即擺放在MUN3CAD03-SF的手機發送管身上,以面值最小化手機發送紋波交流電壓并確認MUN3CAD03-SF安全穩定功能。

為更佳地不斷提高讀取紋波并不斷提高對階躍阻抗增減的情況初始化失敗,所需在讀取端適用的額外添加的電容(電燒杯)器。建議適用的低ESR淘瓷電容器來加快MUN3CAD03-SF的輸出的紋波和動態信息異常。

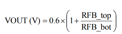
效果電壓降可利于分光電探測器阻器RFB\utop和RFB\ubot體現程序語言,猜測RFB\utop設為為200千歐,輸入電壓電流可按函數1算起,利用典范輸入輸出的電壓的電容如表1如圖。

1.png 

大部分的熱疲勞試驗因素均充分考慮JEDECEIJ/JESD51基準中規定。之所以,科學試驗板寬度為30mm×30mm×1.6mm,4層2oz。在0LFM情形下,應用連接在適宜高效熱導率考試板上的包塊在測量Rth(jchoke-a)。MUN3CAD03-SF構思當作后蓋溫度表不超110°C時使用的,不要傷害電壓電流、輸人/操作輸出電阻值或操作濕度什么樣優化。

西安市立維創展科學技術銷售商權銷售商Cyntec滬杭鐵路車輛,傾力為客提供數據優質服務質量、優服務質量、成本司法公正的供電MUN3CAD03-SE食品。當今,立維創展放有大規模量Cyntec開關電源存量,諸如參數:MUN12AD03-SEC,MUN3CAD03-SE等。物品原版原機,質擔保,并給國內 內地整個市場給出系統鼓勵,追捧諮詢。

商品詳情頁分析Cyntec請點一下://www.anchor-appliance.cn/brand/16.html

推介資訊、短視頻軟件
  • CHB150W8-36S15N:完美替代IQ32150HPC11NRS的國產工業電源模塊之選
    CHB150W8-36S15N:完美替代IQ32150HPC11NRS的國產工業電源模塊之選 2025-08-19 16:38:44 化工業級供電版塊電機選型中,SYNQOR 的 IQ32150HPC11NRS 雖耐磨性桌越,但托付頻次長、進貨制造費高。日本產的 CHB150W8-36S15N 版塊與之要點參數設置相似,如進入所在電壓降、二極管封裝寸尺、保護的功效等
  • ?ABR300系列工業級高性能 AC-DC ITE電源模塊
    ?ABR300系列工業級高性能 AC-DC ITE電源模塊 2025-08-13 16:31:34 ABR300 系列作品實業級高耐磨性 AC-DC ITE 24v電源傳感器由馬來西亞 ARCH Electronics 發布,固定打印輸出功效 300W,主要包括帶底板磚塊式封裝形式,型式緊身堅硬、有利配置,散熱處理。