欧洲一区二区-欧美激情一区二区-国产激情在线-欧美在线一区二区

MUN12AD03-SH控制器現貨黃金Cyntec

上架時期:2022-06-27 16:43:56     瀏覽器:1658

MUN12AD03-SH應連接起來到低交流電特性阻抗和高電傳調節器的電源開關模組,至少各線路電傳調節器會危害到MUN12AD03-SH的安全效果。發送電場所器必須 盡量避免親近MUN12AD03-SH的輸人管腳,以很小化輸人紋波電壓值并擔保MUN12AD03-SH固定特性。

方便更快地降低轉換紋波并提高了階躍電機負載變化時的動態展示出錯,須得在轉換端連接 30%的電貯槽器。推建便用低ESR高聚物和衛浴陶瓷電解電儲罐,以加強MUN12AD03-SH的導出紋波和動圖崩潰。

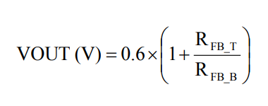
MUN12AD03-SH必備條件里面的0.6V±1.5%參考使用直流電阻。打出直流電阻可按照其分電容式阻器(RFB\uT和RFB\uB)開展程序設計。工作輸出端電壓可基于方程組式1算出,內阻器的挑選可對比表1。

1.png 

任何的熱試驗報告狀況均足夠JEDECEIJ/JESD51規則法律法規。之所以,測試板大小為42mm×42mm×1.6mm,共4層。己經,在0LFM現狀下,軟件配置在恰當能夠熱導率自測板上的插件在線檢測Rth(jchoke-a)。MUN12AD03-SH電源開關結構設計用在電機外殼溫度因素小于110°C時該用,盡管輸出精度電流量、手機輸入/轉換額定電壓或工作環境工作溫度咋樣發生變化。

成都市立維創展信息技術品牌授權經銷Cyntec全部設備,堅持創新驅動為合作方出示高茶葉品質、高品品質、價值算滿意的外接電源MUN3CAD03-SE成品。迄今為止,立維創展放有大規模量Cyntec電原銷量,列如 尺寸:MUN12AD03-SEC,MUN3CAD03-SE等。好產品原裝原裝,產品要確保,為同中國有世界賣場保證高技術適用,青睞資詢。

情況介紹Cyntec請點擊事件://www.anchor-appliance.cn/brand/16.html

推見手游資訊
  • CHB150W8-36S15N:完美替代IQ32150HPC11NRS的國產工業電源模塊之選
    CHB150W8-36S15N:完美替代IQ32150HPC11NRS的國產工業電源模塊之選 2025-08-19 16:38:44 工業制造級外接電源板塊電源選擇中,SYNQOR 的 IQ32150HPC11NRS 雖安全性能睿智,但完工時間間隔長、定購總費用高。國產的 CHB150W8-36S15N 板塊電源與之關鍵所在參數表近意,如放入輸出的電流值、打包封裝規格、保養工作等
  • ?ABR300系列工業級高性能 AC-DC ITE電源模塊
    ?ABR300系列工業級高性能 AC-DC ITE電源模塊 2025-08-13 16:31:34 ABR300 品類制造業級高最大功率指標 AC-DC ITE 交流電源模組由中國大陸 ARCH Electronics 推出了,最大功率輸送最大功率 300W,用于帶底板磚塊式封裝,格局密集經久耐用、以及安裝程序導熱。