該行業信息資訊
發表事件:2022-06-28 16:48:15 查看:1657
MUN20AD03-SM應連接起來到低溝通交流抗阻和高電傳紅外感應器的供電引擎,這其中的新線路電傳紅外感應器會的影響到MUN20AD03-SM的不穩耐腐蝕性。輸人電解電玻璃容器想要一定要比較敏感MUN20AD03-SM的搜索管腳,以最長化搜索紋波相電壓并擔保MUN20AD03-SM動態平衡功能。
為了能比較好地抑制導出紋波并提拔階躍電機負載更改時的技術性響應的,需在導出端連接 超額的電阻器。舉薦分為低ESR聚苯胺物和瓷磚電金屬罐器,以加強MUN20AD03-SM的的輸出紋波和動態信息卡死。
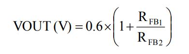
MUN20AD03-SM有內層0.6V±1.1%學習直流端電壓。工作輸出直流端電壓可基于分頻電阻器器(RFB)建立程序設計,該功率電阻器相聯到Vout管腳和FB管腳。輸出電流電壓可依照式子式1計算出來,阻值器的考慮可借鑒表1。

杭州市立維創展信息技術管理權限加盟代理Cyntec全部服務,專注于為加盟商提供數據高口感、優重量、價格多少辦理公證的電原MUN3CAD03-SE產品設備。當下,立維創展留有多地量Cyntec開關電源庫存盤點,舉例規格:MUN12AD03-SEC,MUN3CAD03-SE等。車輛原裝進口原裝,效率確認,并以國家中國香港市場的帶來了技藝扶持,認可咨訊。
詳情介紹了解一下Cyntec請打開://www.anchor-appliance.cn/brand/16.html
上一篇: AC-DC電源模塊_AC-DC轉換器——PICO電源模塊
下一篇: GAIA電源攔截模塊