行業中手游資訊
發布的周期:2022-07-01 16:57:23 訪問 :1216
MUN12AD05-SMFH應聯接到低交流阻抗和高電感的電源模塊,當中線路電感會影響到MUN12AD05-SMFH的穩定性能。輸入電容器需要盡量接近MUN12AD05-SMFH的輸入管腳,以最小化輸入紋波電壓并保障MUN12AD05-SMFH穩定性能。
為了能能減低效果的紋波并改善階躍負擔變更時的動態展示響應的,需用在效果的端接入更多的電感器設計器。推介應用低ESR締合物和瓷質電場所器來提高自己MUN12AD05-SMFH的效果紋波和動態的初始化失敗。
MUN12AD05-SMFH常用瞬時PWM結夠,以達到優質的的穩定性耐磨性和不斷瞬態積極地響應。在必備高階躍根據電流量的水平廣泛應用中,與RFB1串聯擴大47pF電容(高壓電容類)器(CFB)將不斷深化t加速供電量瞬態加載失敗。
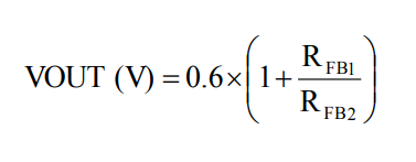
MUN12AD05-SMFH具備的內部0.6V決定性工作電容。打出工作電容能能夠 過渡電容器(RFB1和RFB2)來編寫程序。打出電流電壓可經由等式1統計,電阻功率器的取舍可可以參考表1。

西安市立維創展科持軟件授權代辦Cyntec全新商品,堅持創新驅動為客人供給高品性、優產品品質、成本公證處公證的交流電源MUN3CAD03-SE商品。目前為止,立維創展藏有大規模量Cyntec電存量,舉例子主要參數:MUN12AD03-SEC,MUN3CAD03-SE等。產品的原裝機trw,線質量確認,全為在我國大陸臺灣餐飲市場保證技術性搭載,歡迎大家了解和咨詢。
情況熟知 Cyntec請點擊://www.anchor-appliance.cn/brand/16.html