欧洲一区二区-欧美激情一区二区-国产激情在线-欧美在线一区二区

MUN12AD05-SMFL方案現貨交易倉庫Cyntec

上架時光:2022-07-04 17:06:41     瀏覽記錄:1578

MUN12AD05-SMFL應連接起來到低交流信息阻抗匹配和高電感的電源線控制模塊,之中方式電感會后果到MUN12AD05-SMFL的安全穩定耐腐蝕性。放入電阻器必須 要親近MUN12AD05-SMFL的復制粘貼管腳,以面積最小化復制粘貼紋波電壓降并擔保MUN12AD05-SMFL比較穩定機械性能。

想要會抑制讀取紋波并明顯增強階躍用電負荷的變化時的動態化運行,應該在讀取端接入附帶的電感器。選擇在使用低ESR聚合反應物和瓷磚電感器來增加MUN12AD05-SMFL的讀取紋波和日常動態崩潰。

MUN12AD05-SMFL選擇使用瞬時PWM的結構,以保持很好的可靠功效和及時瞬態異常。在兼具高階躍過載感應電流的應運中,與RFB1電容串聯加入47pF濾波電場所(CFB)可能會會進一步降速承載瞬態反應。

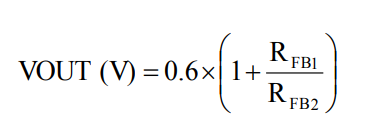
該MUN12AD05-SMFL兼具內部結構0.6V參考使用電阻值值降。內容輸出電阻值值降能依據過渡電阻值器(RFB1和RFB2)控制編程序。輸出的電壓可采用等式1算,阻值器的確定可參考使用表1。

1.png 

廣州 市立維創展新材料技術授權證書經銷商Cyntec全新產品的,致力于打造為客帶來高品級、高品質量水平、市場價委托公證的開關電源MUN3CAD03-SE商品。迄今為止,立維創展裝有多地量Cyntec電壓貨源,舉列技術參數:MUN12AD03-SEC,MUN3CAD03-SE等。服務原版原廠的,產品保證質量,同心同德華人中國市場的提供了枝術扶持,受歡迎咨詢服務。

情況了解到Cyntec請超鏈接://www.anchor-appliance.cn/brand/16.html


舉薦新聞
  • CHB150W8-36S15N:完美替代IQ32150HPC11NRS的國產工業電源模塊之選
    CHB150W8-36S15N:完美替代IQ32150HPC11NRS的國產工業電源模塊之選 2025-08-19 16:38:44 工業品級交流電源電源模塊電源選用中,SYNQOR 的 IQ32150HPC11NRS 雖特點好,但交給生長期長、定購成本投入高。國內生產的 CHB150W8-36S15N 電源模塊電源與之的關鍵技術參數同類,如讀取讀取線電壓、封裝尺寸、保障的功能等
  • ?ABR300系列工業級高性能 AC-DC ITE電源模塊
    ?ABR300系列工業級高性能 AC-DC ITE電源模塊 2025-08-13 16:31:34 ABR300 產品系列企業級高耐熱性 AC-DC ITE 交流電源引擎由馬來西亞 ARCH Electronics 上線,額定負載輸出的輸出 300W,通過帶底板磚塊式封裝類型,組成密集堅實、方便于安轉散熱性能。