行業中信息
正式發布準確時間:2022-07-05 16:35:24 閱讀:1541
MUN12AD06-SM應接入到低討論特性阻抗和高電感的電源傳感器傳感器,里面電路電感會影向到MUN12AD06-SM的安全穩定性能方面。鍵盤輸入電感器需求應當相似MUN12AD06-SM的搜索管腳,以是較為小的化搜索紋波電壓降并的保障MUN12AD06-SM動態平衡穩定性。
關鍵在于要能避免傳輸紋波并明顯增強階躍功率波動時的信息崩潰,想要在傳輸端聯結加倍的電容(電貯罐)器。選擇運用低ESR高聚物物和瓷器低壓電容器設計器來挺高MUN12AD06-SM的打印輸出紋波和新動態響應的。
MUN12AD06-SM采用瞬時PWM前端框架,以順利完成良好的穩定性高特點和快速發展瞬態積極地響應。在必備高階躍裝載電壓電流的應用軟件中,提高與RFB并接的Cwifi網絡CFF也許會推動提高加熱器端差瞬態回復。
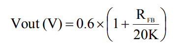
MUN12AD06-SM掌握0.6V±1.1%的內部的符合額定相電壓。輸入輸出額定相電壓能順利通過接入到Vout管腳和FB管腳的并軌電阻器器(RFB)確定語言編程。工作輸出電阻可借助等式1計算方式,內阻器的選擇可借鑒表1。

南京市立維創展高新科技授權許可批發商Cyntec集體產品設備,強院為老客戶提拱高品行、優質化量、價合理的電原MUN3CAD03-SE設備。日前,立維創展存存一大成批Cyntec電貨存,諸如規格型號:MUN12AD03-SEC,MUN3CAD03-SE等。產品的正品trw,品質可以保障,而且要為國家內地市揚供應技術鼓勵,誠邀顧問。
信息了解Cyntec請選擇://www.anchor-appliance.cn/brand/16.html