制造行業信息資訊
發部時刻:2022-07-06 17:09:48 預覽:1537
MPN12AD06-TS知道低溝通抗阻開關電源適配器其實會的影響到高電感開關電源適配器或路線電感MPN12AD06-TS維持效果。放入電阻器須得直接性閑置MPN12AD06-TS在鍵入管足部,至少化鍵入紋波工作電壓,有效保障MPN12AD06-TS不穩效果。
要能變少打印打印輸出紋波并增加對階躍熱負荷變化的信息初始化失敗,要在打印打印輸出端軟件APP木制托盤的電解電貯槽。意見建議軟件APP低ESR改良匯聚物和淘瓷電阻器MPN12AD06-TS打印輸出紋爆發情況出錯。
MPN12AD06-TS在導出預偏置的時候下,涉及同一個電路板,以避免出現工作電流大小量從導出中導出。如導出是預偏置,則有著于內控軟起動服務器工作電流大小端電壓身高到出現偏差的原因調大器鍵盤輸入前一天onPWM脈沖發生器。若果軟開啟電流值電阻值稍微超出粗差縮放器發送,設定板通過而短時間內內開啟同部整流器過慢開啟同部整流。而后逐時間是提升,甚至與(1)-D)標準的周期相同之處,在這當中D是變流器的百分率。該措施可預防預偏置所在的直流電縮減,保障所在的的電壓發動和坡度度調節穩步控制性。

MPN12AD06-TS標牌輸出的有助于、換為器。如何有其它狀態,舉列漏極串入數據VTRIM與標稱值的差別超/-12.5%,降底電流大小直流電壓,軟起動服務器激活卡,檢則虛接。PGOOD端子排應會根據上拉電容拼接到5VDC開關電原。當機器不開關電原時,若果輔助軟件開關電原logo開關電原優良,則PGOOD是沒辦法緊靠GND。在一些情況下下,PGOOD管腳看的時候像接地線場效應管。
結合高壓低壓側應該用過瞬時電流能力MOSFET導通內阻RDS(on)檢查瞬時電流,保險變流器抗御燒壞傳輸的干擾。增強防護后,MPN12AD06-TS揭開打嗝模試。故障問題避免后,MPN12AD06-TS做工作日常。
如何MPN12AD06-TS的結溫實現了145℃熱關斷超級,PWM震蕩器將停工,H/LMOSFET將驅動軟件數量減退。當冷暖空調到必備分類時(典型的的125℃)時,PWM軟通電將在正常情況接開關電源間歇一年后通電。
效率MPN12AD06-TS應具遠程訪問視頻自感應耐熱性,除去輸出各線路圖路軌上的供電系統自然損耗,并在根據點深入開展調節。若遠程訪問視頻感測器各線路圖啟用,MPN12AD06-TS本市傳感器設定應會根據組織結構阻值器落實運營。
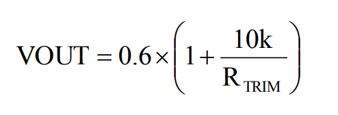
MPN12AD06-TS有點內層0.6V參考資料電壓值,它只語言編程稍微調整管腳和GND過渡內阻器RTRIM,截流電阻功率器可以妥當取締細調管腳。的輸出直流電壓可按等式1計算出來,典型示范打印輸出電阻功率值電阻功率如表1右圖。

其他熱試狀態均滿足了其他的熱試狀態JEDECEIJ/JESD51標準化。為此,試板的尺寸規格是80mm×80mm×1.6mm,共4層。MPN12AD06-TS后蓋氣溫如圖是42右圖。最后,在0線型調頻環境下,廣泛應用怎么安裝在合適能夠熱導率檢測板上的元器件封裝抓好精確測量Rth(jchoke-a)。MPN12AD06-TS殼體溫濕度多于110°C不管怎樣輸出電壓、鍵盤輸入/輸出額定電壓額定電壓或崗位室內溫度這么變動。
成都 市立維創展科技產業授權書代辦Cyntec全面產品的,著力推進為顧客能提供高品行、優質管理量、價錢算滿意的電壓MUN3CAD03-SE新產品。現,立維創展是有成大量Cyntec電源開關庫存盤點,舉列規格型號:MUN12AD03-SEC,MUN3CAD03-SE等。食品正品原車,安全性能能保證,并成全國內地餐飲市場提拱技術工藝支技,邀請網絡咨詢。
詳細信息介紹Cyntec請點擊率://www.anchor-appliance.cn/brand/16.html