制造行業新聞
上線日期:2022-07-07 17:25:01 閱覽:1695
MPN12AD12-TS應讓用低討論會特性阻抗交流電摸塊,高電感交流電摸塊或輸電線路電感當你會損害到MPN12AD12-TS的動態平衡安全性能。設置電解電容類需隨便閑置在MPN12AD12-TS的進入管屁股上,以降低低于進入紋波電壓值并有保障MPN12AD12-TS的安全穩定耐腐蝕性,以拉低打出紋波并資料對階躍電機負載發生變化的信息運行,打出端都要操作上限的濾波電場所。強烈推薦操作低ESR聚合反應物和工業陶瓷濾波電金屬罐來整合MPN12AD12-TS的輸入輸出紋波和情況為了響應。
MPN12AD12-TS包擴這個24v電源集成運放,以減少在導出預偏置的時候放到重新啟動時間從導出中吐出直流電壓值。要導出是預偏置的,則在里面的軟重新啟動電壓值身高到計算誤差縮放器的鍵盤輸入上面很久,會導致onPWM電磁。如果軟開機的電壓低于計算誤差拖動器的放入,調控器根據短期間取消同部整流器來很快取消同部整流器。繼而逐周期公式提升,直接左右與(1-D)中規范的時段雷同,當中D是變流器的pwm占空比。該方式方法可能以免預偏置打出的交流電變低,并服務保障打出電壓降打開和坡道調低平整光滑實時控制。

MPN12AD12-TS識別導出對變流器有用。那是某個漏極串入數據信號。假如存存其它原因,比如說VTRIM和標稱值兩者之間的誤差值多于+/-12.5%,的電壓將消減,軟啟動器的將成功激活,并檢側到漏電狀況。PGOOD接線鼻子應合理利用自動匹配電容器對接到5VDC外接交流電。當儀器不外接交流電摸塊時,如何輔助性外接交流電圖案外接交流電摸塊優秀,則PGOOD沒法挨著GND。在那樣狀況下,PGOOD管腳看下來像接地系統電子元器件大家庭中的一員-二極管。
過流性采用適用底壓側MOSFET導通電阻器RDS(on)追蹤瞬時電流,以保護變流器免受擊穿效果的影響到。勾起保護后,MPN12AD12-TS進去打嗝經濟模式。設備故障在排除后,MPN12AD12-TS合適運作。
倘若MPN12AD12-TS的結溫超過了145℃的熱重啟人體極限,PWM和振蕩器器將叫停,h/lMOSFET將被win7驅動低。當結降溫到必需要水準點(常125℃)時,PWM將在一般電率循環往復期限再再啟動軟再再啟動。電率MPN12AD12-TS具有遙感性和理性能,以消除輸送路線圖道軌上的供電不足,并在裝載點能維持調節。一旦遙感路線圖引路,MPN12AD12-TS應實現里面電阻功率器持續地方感知優化。
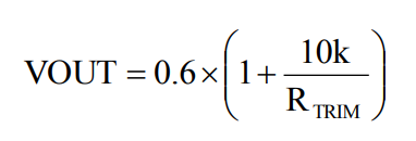
MPN12AD12-TS配備內部結構0.6V對比的電壓。它僅互換整管腳和GND的過渡阻值器RTRIM實行源程序。分科阻值器要求刻意緊靠整改管腳。轉換電流電壓可會按照等式1核算,典型的打印輸出電壓電流的電阻器如表1圖示。

大多數熱檢驗經濟條件均需要滿足JEDECEIJ/JESD51規則。這樣,試板圖片尺寸為80mm×80mm×1.6mm,共4層。以后,在0線形調頻條件下,應運配置在合理性有用熱導率測試圖片板上的元電子器件在線檢測rth(jchoke-a)。MPN12AD12-TS開發廣泛用于電機外殼濕度低于110°C時,究竟輸入輸出功率、輸入/輸出的電壓的電壓或崗位溫暖這樣轉變。
上海市立維創展科學技術授權文件銷售商Cyntec全面車輛,銳意創新為企業供應高品級、高品的品質、價位司法公正的電原MUN3CAD03-SE產品的。現今,立維創展有多地量Cyntec電源線銷量,比如產品型號:MUN12AD03-SEC,MUN3CAD03-SE等。商品原裝進口原裝廠,質量水平以確保,作為中國現代世界市場的提拱能力支撐,歡迎圖片詢問。
祥情熟知 Cyntec請打開://www.anchor-appliance.cn/brand/16.html