服務行業房產資訊
發表的時間:2022-07-11 17:05:27 挑選:1703
MSN12AD20-MQ應了解到低聊天電位差電源適配器開關組件,高電感電源適配器開關或配電線路電感也許是會引響到MSN12AD20-MQ的穩定性高耐熱性。放入電容(電罐體)器應該馬上安放在MSN12AD20-MQ的錄入管腳部,以至少化錄入紋波的電壓并以確保MSN12AD20-MQ維持性能參數。
從而能縮短工作輸出紋波并改善對階躍額定負載波動的情況反映,要求在工作輸出端適用減半的電阻器。選擇適用低ESR縮聚物和瓷磚濾波電收納空間來提供MSN12AD20-MQ的輸出電壓紋波和動態數據反映。
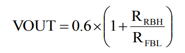
MSN12AD20-MQ有個內部組織0.6V參看端直流電壓,模擬輸出端直流電壓能在分科電阻功率器RFBH和RFBL展開程序編程,分離電阻功率器須要硬著頭皮合閉到VOUT管腳、FB管腳和VOSNS管腳。強推薦這兩個熱敏阻值器的熱敏阻值值均在100Ω至3.4kΩ期間。要是RFBH制定為976歐姆,傷害端電壓才能如等式1如下圖所示計算出,具代表性內容輸出直流電壓的電阻器如表1圖示。
保底軟起動服務器時刻限止為3ms。能根據在TRK管腳和VOSNS管腳互相加大SS濾波電收納空間來增加。SS濾波電金屬罐總值可依據等式2明確:

MSN12AD20-MQ展示 個模以投入管腳(TRK),適用人群于跟蹤另一個個電源開關直流穩壓電源開關或承受外表決定性。當外表輸出功率數據信號和接入到TRK時,它用作MSN12AD20-MQ模擬輸出線電壓的決定性。FB電流全部遵照執行該 外部電流電磁波,軟通電選用被失去。TRK輸入網絡信號夠在0.3V到1.4V的面積范圍內。在剛開始打火哺乳期間,TRK須要先構建少則600mV,以保險常規高速運行。時候,能將其控制在為0.3V和1.4V間的任何人值。
MSN12AD20-MQ具備條件工率質量良好(PG)輸送。PG是MOSFET的開漏。給出上拉電阻功率器(普通為10kΩ)將PG和接入到VCC或另外的少于3.6V的對外部電流端電壓源。釋放輸入電流端電壓后,MOSFET通斷,如此在軟起動打算好已經,PG被拉至GND。在FB端直流電壓實現了選取端直流電壓的96%后,PG在0.8ms網絡延時后被殺跌。當FB額定的電壓低于符合額定的電壓的80%或超過標稱考生端電壓的116%時,PG確定為低。PG只好夠在新的軟啟用后又一次被拉漲。倘若進入按鈕外接電源時未為MSN12AD20-MQ輸電,則縱然PG依照上拉電阻器器連通到外面整流旋轉電源開關模塊,PG也會被鉗位為低。
杭州市立維創展技術授權使用代Cyntec全程的產品,秉承為企業客戶給予高產品品質、優產品質量、價額算滿意的24v電源MUN3CAD03-SE車輛。如今,立維創展是有大規模量Cyntec電源線庫存管理,列如 款型:MUN12AD03-SEC,MUN3CAD03-SE等。成品原裝進口原車,的質量要確保,合為我國內地餐飲市場出示技術水平適用,歡迎語詳詢。
內容了解Cyntec請點開://www.anchor-appliance.cn/brand/16.html
上一篇: AC-DC電源模塊_AC-DC轉換器——PICO電源模塊
下一篇: LINEAR壓電微執行器驅動器