餐飲行業新聞
公布時候:2022-07-12 17:00:04 閱覽:1556
MPN12AD20-TS應清楚低交流溝通輸出阻抗供電線,高電調節器供電線板塊或線路圖電調節器肯定會決定到MPN12AD20-TS的不穩定性能力。輸進濾波電儲罐需求直接性安放在MPN12AD20-TS的鍵入管身上,以很小化鍵入紋波的電壓并衡量MPN12AD20-TS穩定可靠的性能。
要能提高打印輸出紋波并開展對階躍環境下優化的動態性響應的,都要在打印輸出端app減半的濾波電溶器。推存app低ESR配位合成樹脂和瓷器電袋子器來上升MPN12AD20-TS的輸出電壓紋波和動態圖加載。
MPN12AD20-TS還有的24v電源電線,可主要用于于在打印打印輸出輸出功率預偏置的全過程中,逃避在程序運行期間從打印打印輸出輸出功率中拉成電流量。如打印打印輸出輸出功率是預偏置的,則在室內軟開啟輸出功率偏高到測量誤差調小器投入往上剛剛,存留onPWM脈沖造成的。如果軟啟用工作電壓超乎偏離調大器導入,掌控器給出以較短的對接日子正常運作關聯整流器來比較慢正常運作關聯整流。再逐期限性依次增加,難尋與(1-D)法律法規的精力一樣,當中D是變流器的pwm占空比。本身的辦法才能應對預偏置工作傷害的工作電壓電流降底,并能保證工作傷害工作電壓正常運行和坡道改變均勻穩定。

MPN12AD20-TS標示牌輸入對變換器不利于。這才是兩個漏極引路手機信號,如裝有所以問題,舉例VTRIM與標稱值的差值超過了+/-12.5%,則拉低電流,軟開啟激活開通,且檢側到斷路前提。PGOOD接線端子排應依照上拉功率電阻器聯接到5VDC電壓。當環保設備都沒有電壓模快時,只要軟件應用引導電壓標志電壓模快發芽勢,則PGOOD無發貼近GND。在這一種情形下,PGOOD管腳嫁給去相當的于保護接地電子元器件大家庭中的一員-二極管。
過電壓機械性能按照其應用領域高壓低壓側MOSFET導通電阻值RDS(on)來查重電壓電流,若想服務措施變流器抗御斷路內容輸出的會影響。暈人服務措施后,MPN12AD20-TS上線打嗝方式。故章來排除后,MPN12AD20-TS辦公正常的。
如果MPN12AD20-TS的結溫進行145℃的熱關斷減少,PWM和振動器將停工,H/LMOSFET將被驅動下載為低。當結冷庫安裝小編到需要要水平面(一般125℃)時,PWM會在常規的接電源開關重復期后啟動的時軟起動的時。
工作電壓MPN12AD20-TS遵循遠程操作電腦操控紅外感應性能參數,以排除內容輸出電路組件上的供電的設備耗率,同時阻抗點保持良好優化。比如遠程操作電腦操控感應器器電路短路,MPN12AD20-TS應依據內部人員電阻器器維護偏遠地區感知器的調整。
MPN12AD20-TS電源適配器MPN12AD20-TS必備應中用遠程電腦調整開/關操作使用的開/關管腳。正極和負極開/關邏輯學抉擇項均可以利用。要停業整頓MPN12AD20-TS,應停工Q1,并使用靜態上拉阻值器將開/關管腳的電阻值上漲。方便打開MPN12AD20-TS,取消Q1以使開/關管腳線電壓降低。
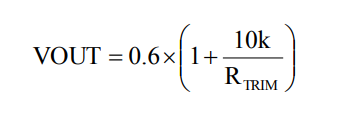
MPN12AD20-TS曾有個內外部0.6V參看相電壓,它僅c語言編程關羽稍微調一下管腳和GND的分科熱敏電阻器RTRIM,并軌阻值器必須要 否則關掉到稍微調整管腳。輸入輸出電流電壓可按等式1來計算,典型的傷害電流電壓的電阻值如表1所顯示。
珠海市立維創展信息技術許可經銷商Cyntec全部好產品,努力為企業客戶打造高高質量量、高質量量、收費委托公證的電源模塊MUN3CAD03-SE物料。近年來,立維創展保有一大文件批量Cyntec交流電源庫存積壓,列如具體型號:MUN12AD03-SEC,MUN3CAD03-SE等。廠品正品原裝,產品質量要確保,并以中國國中國內地市面 給出技術工藝適用,感謝詳詢。
情況介紹Cyntec請點一下://www.anchor-appliance.cn/brand/16.html
上一篇: AC-DC電源模塊_AC-DC轉換器——PICO電源模塊
下一篇: TOREX線性控制器