市場知識
上架時刻:2022-10-26 16:53:07 網頁瀏覽:2460
市面上這兩款3A的μModule產品:TPS82085、MUN3CAD03-JE被很多工程師用到,其中品牌分別為TI、矽力杰、Cyntec,引腳概念不對,就能夠確保原位相互交換代替品。
TPS82085這顆3A的電源線組件, 在國內 市揚軟件應用相對較多,就像光接口、工業控制機、數值重點等創業項目。根據集成功了DC-DC、MOS、電感等,工作師很利于地會使用的,可以減輕了校正和來設計的精力。另外 更至關重要的影響是,提升自己了整體化的電質量,對體系的發熱的原因有優化。
管于這一板塊TPS82085的在使用業務溫暖(-40~125°C),TI原裝廠的講解是:
這些反映比效草率,讓有許多建設項目師比效困感。只是TI的描述是:集成塊的結溫沒能高于125度,則工作任務的環境工作溫度推薦 在85度控制,更高的的體溫要有不斷增加散熱器器風扇散熱器。以至于體溫提升,會顯示保護英文。
2022年10月Cyntec新發布μPOL護膚品MUN3CAD03-JE,主要采用強行PWM作業方法,這一項類好產品好點地適用光控制器類好產品和FPGA在輕載經營模式,下的工作任務,可不可以在過載經營模式,下始終保持優越的的紋波特征。Cyntec護膚品的引腳封裝以下圖:
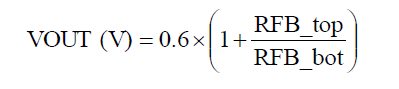
在外部結構配對領域,MUN3CAD03-JE想要校準反應端電壓比率:
在紋波因素上,TPS82085 和MUN3CAD03-JE較詳細:
雙方的電功效叁數相比較相應:
型號查詢 | 錄入相電壓 | 的輸出相電壓 | 工作電流 | 體型 |
TPS82085 | 2.5~6V | 0.8~6V | 3A | 2.8*3.0*1.3mm |
MUN3CAD03-JE | 2.75~5.5V | 0.6~3.3V | 3A | 2.8*3.0*1.3mm |
在Cyntec的設備新門店終端多目標優化中,比MUN3CAD03-JE老絲毫的版本信息貨品是MUN3CAD03-SE ,這種企業產品選用輕載和過載事業基本模式轉換的特點,比較好地維系了高效率超過0.5%的優點和缺點,這些效率的切回點在400ma, 也能達到不一樣的工程的供給。

成都市立維創展科技創新商標授權代理費Cyntec長線產品,堅持創新驅動為玩家提拱高品級、優服務質量、定價房屋公證的電壓包塊產品。Cyntec的交流電源方案產品,交貨期4-6周,位置現貨黃金庫存量采購,歡迎圖片管理咨詢。
詳情頁熟知 Cyntec電原電源模塊請點擊進入://www.anchor-appliance.cn/brand/16.html
上一篇: AC-DC電源模塊_AC-DC轉換器——PICO電源模塊
下一篇: TPSM82823電源模塊替代