企業內容
公布時間段:2024-03-15 17:03:40 瀏覽網頁:5975
有一些運用和/或 平安管理機制幾率要有在電率轉型零配件的錄入端的使用商業險絲。當都存在接連錄入端電壓正向而沒得直流電上限的幾率性時,也應的使用商業險絲。為了更好地主要度的平安,Cyntec建立在未與地面的輸入電源模塊網上組裝快速的保障絲。組裝人數肯定遵循大多數涉及到的的安會標和法律。經安會醫院準許后,應結合后面用戶賬戶安會標組裝改換器。

Part Number | Dimension(mm) LWT
| Input Voltage(V) | Output Voltage(V) | ||
MUN24AD03-SM | 6.0 | 6.0 | 3.5 | 4.5~34.0 | 5.0~12.0 |
發送濾過:
MUN24AD03-SM應相連到低溝通特性阻抗電壓線,高電感電壓線或火車線路電感會影晌MUN24AD03-SM的穩定可靠性。設置濾波電容都要單獨置于MUN24AD03-SM投入引腳,以比較小化投入紋波直流電壓并確保MUN24AD03-SM的動態平衡性。
模擬輸出過濾裝置:
為了讓削減傷害紋波并改變對階躍負荷的變化的各式各樣積極響應,需在傷害端操作這個30%電容器。覺得操作低ESR衛浴陶瓷電感來提高MUN24AD03-SM的輸出的紋波和的動態回復。
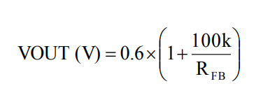
和程序編寫輸出端電壓端電壓:
MUN24AD03-SM的內部基準點額定電壓為0.6V±1.5%工作輸出的電壓還可以按照分光電探測器阻RFB程序設計,也包括FB引腳和GND引腳。模擬輸出直流電壓應順利通過ToffMIN和TonMIN的裝換比來注意,并表明其最典型的工作輸出輸出功率的功率電阻來代表。

西安市立維創展信息技術授權許可地區代理Cyntec旅游線類產品,全力為顧客作為優質化量、優質化量、價格多少公證處公證的電源線控制器服務。服務原放進囗的進囗的,安全性能保護,合為中國內地地區貿易市場可以提供技術工藝扶持,青睞咨詢公司!!!