的行業資迅
推出時間間隔:2022-05-16 16:53:10 閱讀:2115
MUN12AD03-SEC效率DC/DC供電功能評價指標板在瞬時電流瞬時電流達到3A時演變成+5.0V讀取相電壓。mun12AD03SEC電開關幀率為1MHZ,使用所保證的功能模塊可實現目標自由高達91%的速度。
機械規則:
Parameters | Symbol | Value | Unit |
Input Voltage Rang | VIN | 4.5~17 | V |
Output Voltage | VOUT | 1.0~5.0 | V |
Output Current | IOUT | 3 | A |
開展板速率:

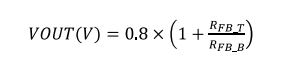
功能里面有0.8V+1.5%的參考選取工作額定電壓,效果工作額定電壓可通過分壓電式阻器(RFBT和RFB)去編譯程序。模擬輸出工作電壓可利用率式子式1計算的,電容器的考慮可可以參考表1:
基于TI 熱門推薦型號TPS82130、TPSM82813、TPS82140大規模混料狀況,諸多業主遇到混凝土泵送價調貨,而Cyntec交流電源的MUN12AD03-SEC能原位P2P 重復使用。美好避免TPS82130、TPSM82813、TPS82140缺貨情形,并立維創展享有過多MUN12AD03-SEC期貨制造。
長沙市立維創展科持授權證書經銷商Cyntec集體企業商品,傾力為雇主給予高品味、優品質、成本算滿意的電源線摸塊企業商品。企業商品原裝機trw,重量擔保,而且要為在我國內地市場中供給工藝支撐,邀請咨詢中心。