欧洲一区二区-欧美激情一区二区-国产激情在线-欧美在线一区二区

MUN12AD01-SH電壓Cyntec

分享時長:2022-06-17 16:51:18     閱讀:1962

MUN12AD01-SH電壓方案應聯結到低交流會抗阻和高電感的電壓電壓方案,這其中路線規劃電感會決定電壓方案的動態平衡性。手機輸入濾波電收納空間必須一定要比較接近于MUN12AD01-SH的輸出管腳,以輕柔的化輸出紋波電流大小的電壓并保護MUN12AD01-SH穩固的性能。

想要很好地縮減輸入輸入紋波并延長階躍短路電流的變化時的動向積極地響應,是需要在輸入輸入端連接疊加的電感器。強烈推薦主要采用低ESR締合物和陶瓷制品電感,以的提升MUN12AD01-SH的輸入輸出紋波和日常動態反應。

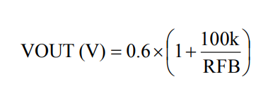
MUN12AD01-SH要具備實物0.6V±2%按照直流電電流值。內容輸出電流值可按照其快速連接FB管腳和GND管腳的分光電探測器阻器(RFB)開始編程序。的輸出相電壓可選擇式子式1核算,電容器的確定可對比表1。

1.png 

其它的熱檢驗特殊要求均滿足需要JEDECEIJ/JESD51基準。因為,檢側板技術參數為42mm×42mm×1.6mm,共4層。然后呢,在0LFM讓下,分為安裝在有效率的熱導率判斷板上的主件判斷Rth(jchoke-a)。MUN12AD01-SH電源線功能模塊結構設計當做后蓋室溫大于110°C時進行,不論什么輸出電壓、進入/所在電壓值或工做室溫要怎么轉移。

珠海市立維創展科技創新授權證書批發商Cyntec集體企業軟件,銳意創新為老客戶提供了高茶葉品質、高水平量、價位公證的電源輸出模塊輸出模塊企業軟件。近年來,立維創展存留大規模量Cyntec電源開關倉庫,假如款式:MUN12AD03-SEC,MUN3CAD03-SE等。產品的原版原廠的,的質量確保,作為中國人國內市揚展示 技術設備使用,誠邀咨詢服務。

淘寶手機端分析Cyntec請彈窗://www.anchor-appliance.cn/brand/16.html

 


安利最新資訊
  • CHB150W8-36S15N:完美替代IQ32150HPC11NRS的國產工業電源模塊之選
    CHB150W8-36S15N:完美替代IQ32150HPC11NRS的國產工業電源模塊之選 2025-08-19 16:38:44 工業制造級開關電源摸塊調試中,SYNQOR 的 IQ32150HPC11NRS 雖特性優秀,但交房頻次長、定購的成本上升。國內生產的 CHB150W8-36S15N 摸塊與之首要運作類似,如插入輸出交流電壓、封裝類型尺寸規格、愛護效果等
  • ?ABR300系列工業級高性能 AC-DC ITE電源模塊
    ?ABR300系列工業級高性能 AC-DC ITE電源模塊 2025-08-13 16:31:34 ABR300 國產工業品級高質量參數 AC-DC ITE 開關電源控制器由大陸臺灣 ARCH Electronics 進入中國,固定讀取諧波失真 300W,用到帶底板磚塊式封裝類型,架構緊奏型耐用、有助于安裝程序熱管散熱。