欧洲一区二区-欧美激情一区二区-国产激情在线-欧美在线一区二区

MUN12AD03-SEC接口現貨平臺Cyntec

更新日子:2022-06-22 16:29:02     網頁瀏覽:1208

MUN12AD03-SEC模塊應聯接到低交流阻抗和高電感的電源模塊,當中線路電感會干擾MUN12AD03-SEC的穩定性能。輸入電容器需要盡量接近MUN12AD03-SEC的輸入管腳,以最小化輸入紋波電壓并保證MUN12AD03-SEC穩定性能。

只為更優質地縮減輸出紋波并提高階躍負債增減時的動態圖片異常,需在輸出端聯結疊加的電干凈的器皿器。推存使用低ESR配位高分子和瓷質電容(電容器),以加強MUN12AD03-SEC的轉換紋波和日常動態卡死。

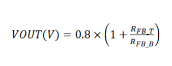
MUN12AD03-SEC有的內部0.8V±1.5%基準電流值。工作輸出電流值可靈活運用分光電探測器阻器(RFB\uT和RFB\uB)來進行編程序。傷害電阻可應用方程組式1算出,內阻器的確定可考慮表2。

1.png 

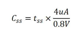
默認要求1ms軟進行期限維系SS管腳波動。爭對限制1ms的軟運行時間段,在SS管腳和GND互相接一些電解電燒杯,可以java開發打印輸出線電壓的無法斜率。4μA的不變電壓值電流為外部鏈接電收納空間器充點。讀取電壓值說出軟開機啟動時候還要的電收納空間器由數學公式2提供:

2.png 

每個的熱試驗臺狀態均滿足了JEDECEIJ/JESD51細則。之所以,測試板長度為30mm×30mm×1.6mm,共2層。第三,在0LFM前提條件下,按照按裝在有效地熱導率試驗板上的元器件封裝測量Rth(jchoke-a)。MUN12AD03-SEC引擎定制適合金屬外殼攝氏度底于125°C的時候用,究竟所在交流電、設置/打出額定電壓或操作高溫應該怎么變。

北京市立維創展科技創新許可POS機代理Cyntec全面產品,銳意創新為客提拱高企業產品品質、優質化量、報價委托公證的電源摸塊摸塊產品。現下,立維創展放有陸續量Cyntec電壓交易量,這類尺寸:MUN12AD03-SEC,MUN3CAD03-SE等。服務原裝進口原車,的品質切實保障,并成華人地區茶葉市場供應枝術適用,受歡迎咨詢中心。

詳細情況知曉Cyntec請點擊量://www.anchor-appliance.cn/brand/16.html

舉薦信息
  • CHB150W8-36S15N:完美替代IQ32150HPC11NRS的國產工業電源模塊之選
    CHB150W8-36S15N:完美替代IQ32150HPC11NRS的國產工業電源模塊之選 2025-08-19 16:38:44 行業級外接電源板塊選擇中,SYNQOR 的 IQ32150HPC11NRS 雖使用性能好,但托付期長、定貨投資成本非常高。國廠的 CHB150W8-36S15N 板塊與之最為關鍵的技術指標相近的字,如手機輸入輸出精度工作電壓、封口尺寸規格、保護英文功能模塊等
  • ?ABR300系列工業級高性能 AC-DC ITE電源模塊
    ?ABR300系列工業級高性能 AC-DC ITE電源模塊 2025-08-13 16:31:34 ABR300 型號制造業級高特性 AC-DC ITE 電源線模快由奶茶 ARCH Electronics 上線,額定馬力導出馬力 300W,選擇帶底板磚塊式打包封裝,節構密集經久耐用、以便于怎么安裝散熱性能。